Headline.co.id
  • Home
  • Berita
    • Peristiwa
    • Nasional
  • Ekonomi
  • Kesehatan
  • Pemerintah
  • Religi
    • Doa
    • Sholat
    • Sholawat
  • Teknologi
    • Aplikasi
    • Kamera
    • Laptop
    • PC Desktop
    • Smartphone
  • Wisata & Kuliner
    • Hotel
    • Resep Makanan
    • Wisata Alam
    • Wisata Buatan
    • Wisata Budaya
    • Wisata Kuliner
  • Lainnya
    • Humaniora
    • Hukum
    • Gosip
    • Pendidikan
    • Hiburan
    • Olahraga
    • Transportasi
    • Viral
    • Suara Pembaca
    • Politik
    • Otomatif
    • Inspiration
    • Home Design
    • Lifestyle
No Result
View All Result
Get Started
Headline.co.id
  • Home
  • Berita
    • Peristiwa
    • Nasional
  • Ekonomi
  • Kesehatan
  • Pemerintah
  • Religi
    • Doa
    • Sholat
    • Sholawat
  • Teknologi
    • Aplikasi
    • Kamera
    • Laptop
    • PC Desktop
    • Smartphone
  • Wisata & Kuliner
    • Hotel
    • Resep Makanan
    • Wisata Alam
    • Wisata Buatan
    • Wisata Budaya
    • Wisata Kuliner
  • Lainnya
    • Humaniora
    • Hukum
    • Gosip
    • Pendidikan
    • Hiburan
    • Olahraga
    • Transportasi
    • Viral
    • Suara Pembaca
    • Politik
    • Otomatif
    • Inspiration
    • Home Design
    • Lifestyle
No Result
View All Result
Headline.co.id
No Result
View All Result
Home Pendidikan

Perhitungan Berat Besi Beton: Rumus Teknis dan Metodologi Akurat

Hendrawan by Hendrawan
5 months ago
in Pendidikan
Reading Time: 5 mins read
419 4
A A
0
Ilustrasi gambar besi beton

Ilustrasi gambar besi beton

Share on FacebookShare on Twitter

Headline.co.id, Jakarta ~ Dalam setiap proyek konstruksi, besi beton atau rebar adalah komponen vital yang menanggung beban dan menjamin durabilitas jangka panjang suatu bangunan. Kesalahan dalam estimasi kebutuhan besi beton dapat berakibat fatal, baik secara struktural (risiko kekurangan material di lapangan) maupun finansial (membengkaknya anggaran akibat kelebihan pemesanan). Oleh karena itu, akurasi perhitungan Berat Besi Beton menjadi keterampilan fundamental yang wajib dikuasai oleh setiap insinyur dan manajer proyek. 

Perhitungan ini bukan hanya sekadar menambah jumlah, melainkan aplikasi rumus teknis yang memastikan material yang dipesan benar-benar memenuhi standar kekuatan dan volume yang dibutuhkan. Menghitung berat ini adalah langkah awal yang menentukan efisiensi dan keselamatan proyek konstruksi secara keseluruhan. Anda bisa mendapatkan informasi lebih lanjut mengenai material ini di laman Berat Besi Beton.

You might also like

Guru Besar UGM Soroti Surplus Telur dan Dampak Investasi Asing

Guru Besar UGM Soroti Surplus Telur dan Dampak Investasi Asing

28 April 2026
UGM Luncurkan Denteksi, Platform Skrining Gigi Berbasis AI

UGM Luncurkan Denteksi, Platform Skrining Gigi Berbasis AI

28 April 2026

Mengapa akurasi perhitungan berat menjadi begitu krusial? Ada dua alasan utama. Pertama, Kontrol Anggaran (Cost Control). Besi beton adalah salah satu material konstruksi dengan porsi biaya terbesar. Kelebihan estimasi dapat mengunci modal yang seharusnya bisa dialokasikan untuk kebutuhan lain. Kedua, Integritas Struktural. Setiap desain struktur mengharuskan adanya persentase tulangan minimum pada kolom, balok, atau pelat. Jika berat yang terhitung secara teoritis tidak sesuai dengan berat aktual yang dipasang (misalnya karena deviasi diameter yang berlebihan), kekuatan struktur dapat terkompromi, dan risiko kegagalan struktural akan meningkat.

Dasar dari perhitungan berat ini adalah prinsip fisika material yang sederhana: berat (massa) sama dengan volume dikalikan dengan massa jenis (densitas). Dalam hal besi beton, material yang digunakan adalah baja, yang memiliki nilai massa jenis standar yang telah ditetapkan secara internasional maupun nasional.

Di Indonesia, standar yang digunakan adalah Standar Nasional Indonesia (SNI), yang merujuk pada ketentuan teknis terkait properti fisik baja. Nilai massa jenis (p) baja yang digunakan untuk perhitungan teoritis adalah sekitar 7.850kg/m^3. Nilai ini adalah kunci untuk merumuskan perhitungan Berat Besi Beton.

Berat besi beton adalah denyut nadi keuangan dan keselamatan struktur Anda; jika perhitungannya meleset, maka seluruh proyek berisiko tinggi. Dengan menggunakan nilai densitas standar, kita dapat menurunkan rumus yang lebih praktis untuk menghitung berat per meter lari dari besi beton berdasarkan diameternya.

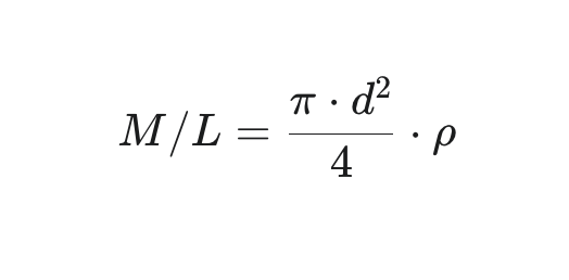
Secara matematis, berat besi beton per meter (M/L) dihitung menggunakan rumus:

Di mana:

  • d adalah diameter nominal besi beton (dalam meter).
  • pi adalah konstanta 3,1415.
  • p adalah massa jenis baja (7.850kg/m^3).

Untuk mempermudah pekerjaan insinyur di lapangan, rumus tersebut biasanya disederhanakan menjadi:

M/L = d^2 X 0.00617

(Dengan M/L dalam kg/m dan d dalam mm).

Mari kita terapkan rumus praktis ini pada dua diameter yang paling umum digunakan dalam konstruksi sipil. Misalnya, untuk besi beton dengan diameter nominal 10 \text{ mm} (d=10):

M/L = 10^2 X 0.00617 = 100 X 0.00617 = 0.617 kg/m

Artinya, secara teoritis, setiap meter besi beton 10 mm harus memiliki berat 0.617 kg. Untuk besi beton 16 mm (d=16).

M/L = 16^2 X 0.00617 = 256 X 0.00617 = 1.579 kg/m

Penghitungan teoritis ini adalah dasar untuk membuat Bar Bending Schedule (BBS) dan total estimasi kebutuhan material. Namun, realita di lapangan tidak selalu seideal rumus di atas, yang membawa kita pada isu penting berikutnya: Toleransi.

SNI 2052:2017 mengatur secara ketat mengenai kualitas besi beton, termasuk standar Berat Besi Beton. SNI menyadari bahwa dalam proses manufaktur, deviasi (penyimpangan) dari diameter nominal tidak dapat dihindari sepenuhnya. Oleh karena itu, standar tersebut menetapkan batas toleransi berat yang diizinkan. Pada dasarnya, berat aktual besi beton yang Anda terima tidak boleh terlalu jauh berbeda dari berat teoritis yang dihitung menggunakan rumus di atas. Jika penyimpangan Berat Besi Beton melebihi batas toleransi yang ditetapkan SNI (biasanya dinyatakan dalam persentase), ini adalah indikasi bahwa kualitas baja yang Anda terima berada di bawah standar. Besi beton yang terlalu ringan daripada berat nominalnya berarti diameter atau densitasnya tidak sesuai standar, yang secara langsung mengurangi daya dukung dan kekuatan struktur bangunan.

Metodologi verifikasi kualitas di lapangan sangatlah praktis. Manajer proyek atau insinyur kontrol kualitas (QC) akan melakukan pengujian sederhana:

  1. Pengukuran Panjang: Mengukur panjang total (L) batang besi beton secara akurat.
  2. Pengukuran Berat Aktual: Menimbang batang besi beton tersebut menggunakan timbangan yang terkalibrasi untuk mendapatkan massa aktual (Maktual).
  3. Perbandingan: Menghitung berat per meter aktual (Maktual / L) dan membandingkannya dengan berat per meter teoritis (d^2 X 0.00617). Selisih antara keduanya harus berada dalam batas toleransi SNI.

Metode verifikasi ini sangat penting untuk mencegah pemakaian besi beton yang tidak standar (sering disebut ‘banci’) yang dapat membahayakan keseluruhan proyek.

Pentingnya perhitungan yang akurat ini telah menjadi filosofi utama dalam dunia teknik sipil. “Perhitungan yang cermat di atas kertas adalah penjamin tidur nyenyak di bawah struktur,” kata pepatah di kalangan insinyur. Ketepatan estimasi Berat Besi Beton di tahap awal menghilangkan kejutan yang tidak menyenangkan di tahap eksekusi.

Selain verifikasi kualitas, perhitungan akurat juga berdampak besar pada strategi pengadaan. Mengetahui berat teoritis memungkinkan Anda membuat keputusan yang tepat: apakah lebih efisien membeli besi beton berdasarkan satuan berat (kilogram/ton) atau berdasarkan satuan batang. Bagi kontraktor yang memiliki volume proyek besar, pembelian dan verifikasi berdasarkan satuan berat adalah metodologi yang paling akuntabel dan transparan, memastikan setiap sen yang dikeluarkan sesuai dengan spesifikasi teknis material yang diterima. Dengan bermitra bersama pemasok yang mengedepankan transparansi dan mematuhi SNI secara ketat, risiko kesalahan estimasi dan penggunaan material non-standar dapat diminimalkan secara signifikan.

Kesimpulannya, perhitungan Berat Besi Beton adalah elemen dasar dalam manajemen konstruksi. Menguasai rumus teknis, memahami metodologi verifikasi di lapangan, dan selalu mengacu pada standar SNI adalah tiga pilar untuk menjamin efisiensi biaya, akuntabilitas material, dan yang terpenting, menjamin integritas struktural dan keselamatan proyek Anda.

Jika Anda membutuhkan konsultan material baja, atau ingin memastikan bahwa setiap pengiriman Berat Besi Beton yang Anda terima di proyek Anda telah melalui verifikasi kualitas yang ketat dan memenuhi standar SNI 2052:2017, tim ahli kami siap membantu. Jangan ragu untuk menghubungi Sinar Jaya Steelindo untuk mendapatkan produk besi beton berkualitas tinggi yang terjamin keakuratannya. (*SB/ADS)

Baca juga: Berapa kisaran harga pipa galvanis

Tags: Besi BetonPerhitungan Berat BesiRumus
Hendrawan

Hendrawan

Related Stories

Guru Besar UGM Soroti Surplus Telur dan Dampak Investasi Asing

Guru Besar UGM Soroti Surplus Telur dan Dampak Investasi Asing

by Dani
28 April 2026
0

Headline.co.id, Jogja ~ Perdebatan mengenai usulan pembukaan izin bagi investor asing di subsektor ayam petelur oleh Kamar Dagang dan Industri...

UGM Luncurkan Denteksi, Platform Skrining Gigi Berbasis AI

UGM Luncurkan Denteksi, Platform Skrining Gigi Berbasis AI

by masfajar
28 April 2026
0

Headline.co.id, Jakarta ~ Tim dosen dari Universitas Gadjah Mada (UGM) telah mengembangkan sebuah platform skrining kesehatan gigi berbasis Artificial Intelligence...

Mantan Pegawai UGM Manfaatkan Masa Pensiun dengan Budidaya Selada Hidroponik

Mantan Pegawai UGM Manfaatkan Masa Pensiun dengan Budidaya Selada Hidroponik

by Lia
28 April 2026
0

Headline.co.id, Arta Wahana ~ mantan tenaga kependidikan di Universitas Gadjah Mada (UGM), memilih untuk tetap aktif setelah pensiun dengan mengelola...

Rektor UGM dan Menko AHY Gelar Penanaman Pohon di Tol Prambanan-Purwomartani

Rektor UGM dan Menko AHY Gelar Penanaman Pohon di Tol Prambanan-Purwomartani

by wahyu
28 April 2026
0

Headline.co.id, Jogja ~ Universitas Gadjah Mada (UGM) menunjukkan komitmennya terhadap pembangunan berkelanjutan dengan berkolaborasi lintas sektor. Menteri Koordinator Bidang Infrastruktur...

Dokter Hewan Didorong Tingkatkan Pendekatan One Health untuk Hadapi Zoonosis dan Keamanan Pangan

Dokter Hewan Didorong Tingkatkan Pendekatan One Health untuk Hadapi Zoonosis dan Keamanan Pangan

by Dwina
27 April 2026
0

Headline.co.id, Jogja ~ Dalam rangka memperingati Hari Dokter Hewan Sedunia yang jatuh pada 25 April, peran penting dokter hewan dalam...

Tantangan Pengolahan Sampah Organik Menjadi Energi Listrik di Indonesia

Tantangan Pengolahan Sampah Organik Menjadi Energi Listrik di Indonesia

by Fajar
27 April 2026
0

Headline.co.id, Jogja ~ Pemerintah Indonesia melalui Kementerian Lingkungan Hidup dan Badan Pengendalian Lingkungan Hidup terus mengupayakan pembangunan Proyek Pengolahan Sampah...

Headline Media Headline Media Headline Media

Recommended

Prancis Berkomitmen Tingkatkan Kerja Sama Olahraga dengan Indonesia

Prancis Berkomitmen Tingkatkan Kerja Sama Olahraga dengan Indonesia

25 March 2026
Inovasi Kesehatan Balangan: Home Care dan Digitalisasi di HKN ke-61

Inovasi Kesehatan Balangan: Home Care dan Digitalisasi di HKN ke-61

13 November 2025
Pemerintah dan DPR Sepakati RUU PPRT untuk Perlindungan Pekerja Rumah Tangga

Pemerintah dan DPR Sepakati RUU PPRT untuk Perlindungan Pekerja Rumah Tangga

22 April 2026

Tinjau Giat Transisi Darurat Semeru, Kepala BNPB Tekankan Akselerasi Pembangunan Huntara dan Huntap

14 January 2022
Prabowo Subianto: Pesan Damai Natal untuk Persatuan Bangsa

Prabowo Subianto: Pesan Damai Natal untuk Persatuan Bangsa

6 January 2026
Presiden Joko Widodo menyampaikan keterangan pers terkait tragedi di Stadion Kanjuruhan, di Istana Kepresidenan Bogor

Ungkap Duka Cita Atas Tragedi di Kanjuruhan, Inilah Perintah Langsung dari Jokowi

2 October 2022
Kerabat Kesultanan Pagaruyung Berikan Bantuan kepada Warga Tanah Datar

Kerabat Kesultanan Pagaruyung Berikan Bantuan kepada Warga Tanah Datar

17 March 2026

Artikel Terbaru

Guru Besar UGM Soroti Surplus Telur dan Dampak Investasi Asing

Guru Besar UGM Soroti Surplus Telur dan Dampak Investasi Asing

28 April 2026
Pemprov Sumbar Perkuat Kesiapsiagaan Bencana Berbasis Masyarakat

Pemprov Sumbar Perkuat Kesiapsiagaan Bencana Berbasis Masyarakat

28 April 2026
UGM Luncurkan Denteksi, Platform Skrining Gigi Berbasis AI

UGM Luncurkan Denteksi, Platform Skrining Gigi Berbasis AI

28 April 2026
Mantan Pegawai UGM Manfaatkan Masa Pensiun dengan Budidaya Selada Hidroponik

Mantan Pegawai UGM Manfaatkan Masa Pensiun dengan Budidaya Selada Hidroponik

28 April 2026
Rektor UGM dan Menko AHY Gelar Penanaman Pohon di Tol Prambanan-Purwomartani

Rektor UGM dan Menko AHY Gelar Penanaman Pohon di Tol Prambanan-Purwomartani

28 April 2026
Polwan dan Bhayangkari Polda Kaltim Salurkan Bantuan Sosial di Balikpapan

Polwan dan Bhayangkari Polda Kaltim Salurkan Bantuan Sosial di Balikpapan

28 April 2026
Polresta Yogyakarta Tetapkan 13 Tersangka dalam Kasus Daycare Little Aresha

Polresta Yogyakarta Tetapkan 13 Tersangka dalam Kasus Daycare Little Aresha

28 April 2026

Popular Story

  • Daycare Little Aresha Jogja di Segel Polisi

    Siapa Pemilik Daycare Little Aresha Jogja? Struktur Organisasi Dicari, Akun Medsos Hilang

    1101 shares
    Share 440 Tweet 275
  • Daftar Nama Korban Kecelakaan Kereta Bekasi Timur, Total 53 Korban Teridentifikasi di RSUD Kota Bekasi

    712 shares
    Share 285 Tweet 178
  • Viral Dugaan Kekerasan Anak, Google Maps Daycare Little Aresha Jogja Diserbu Netizen dan Kini Menghilang

    904 shares
    Share 362 Tweet 226
  • Heboh Video 4 Menit 27 Detik di Pamekasan, Polisi Selidiki Pelajar SMP yang Diduga Terlibat

    1198 shares
    Share 479 Tweet 300
  • Polisi Ungkap Kronologi dan Identitas Mayat Perempuan Ditemukan di Kali Ngrowo Kulon Progo

    683 shares
    Share 273 Tweet 171
  • Polisi Ungkap Detik-Detik Siswa SD Tertimpa Besi Pick Up di Gunungkidul, Korban Kritis

    712 shares
    Share 285 Tweet 178
  • Pemerintah Mulai Tertibkan Perkebunan Sawit Ilegal di Kawasan Konservasi Sumut

    1104 shares
    Share 442 Tweet 276
  • Polisi Ungkap Kasus Pria Tewas Gantung Diri di Kulon Progo, Berawal dari Temuan Keluarga

    607 shares
    Share 243 Tweet 152
Headline.co.id


Headline.co.id (Headline Media Indonesia) merupakan situs berita Headline menyediakan berbagai macam informasi yang update dan terpercaya. Izin Kominfo No TDPSE : 007022.01/DJAI.PSE/08/2022 PB-UMKU: 120000073262700000001

  • Kebijakan Editorial
  • Pedoman Media Siber
  • Kode Etik
  • Koreksi Ralat
  • Redaksi
  • Pasang Iklan

© 2025 Headline.co.id - Faktual dan Aktual.

Welcome Back!

Login to your account below

Forgotten Password?

Retrieve your password

Please enter your username or email address to reset your password.

Log In
No Result
View All Result
  • Home
  • Berita
    • Peristiwa
    • Nasional
  • Ekonomi
  • Kesehatan
  • Pemerintah
  • Religi
    • Doa
    • Sholat
    • Sholawat
  • Teknologi
    • Aplikasi
    • Kamera
    • Laptop
    • PC Desktop
    • Smartphone
  • Wisata & Kuliner
    • Hotel
    • Resep Makanan
    • Wisata Alam
    • Wisata Buatan
    • Wisata Budaya
    • Wisata Kuliner
  • Lainnya
    • Humaniora
    • Hukum
    • Gosip
    • Pendidikan
    • Hiburan
    • Olahraga
    • Transportasi
    • Viral
    • Suara Pembaca
    • Politik
    • Otomatif
    • Inspiration
    • Home Design
    • Lifestyle

© 2025 Headline.co.id - Faktual dan Aktual.